Research on Eperisone hydrochloride!
Leave a message
Eperisone hydrochloride powder is a beta aminoketone central muscle relaxant drug, first marketed in Japan in 1983 under the brand name Myonal. Mainly acting on the central nervous system and vascular smooth muscle, it can inhibit experimental stiffness in animals, dilate blood vessels, improve blood circulation, resist dizziness, relieve pain, and enable patients with cerebrovascular accidents to perform voluntary movements smoothly.
|
|
|
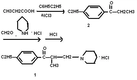
| Reaction route for synthesizing EPERISONE HCL | 56839-43-1 Eperisone hydrochloride |
Is EPERISONE HYDROCHLORIDE a hormone product?
pure Eperison Hydrochloride powder is mainly used clinically to improve muscle tension caused by neck shoulder arm syndrome, frozen shoulder, back pain, and other diseases, as well as to improve spastic paralysis caused by cerebrovascular disorders, spastic spinal cord paralysis, cervical spondylosis, surgical sequelae, amyotrophic lateral sclerosis, infantile cerebral palsy, spinocerebellar degeneration, spinal cord vascular disorders, subacute optic nerve and spinal cord disease, and other brain and spinal cord diseases. Related studies have found that this product mainly acts on the central nervous system to relax skeletal muscles, and can directly relax vascular smooth muscle. This is significantly different from hormone drugs containing glucocorticoids, mineralocorticoids, and other ingredients, and it does not have the characteristics and related hormone side effects of hormone drugs. However, this does not mean that this product has no side effects. Using this product may still cause symptoms such as drowsiness, fatigue, and limb weakness. Therefore, after using this product, one cannot engage in concentrated work such as driving.
What are the differences between eperisone hydrochloride and Tizanidine hydrochloride?
Although tizanidine and eperisone are both central skeletal muscle relaxants, they are different in the scope of action, principle of action and contraindications.
1. Different scope of action: What they have in common is to improve muscle tension and central myotonia. But Eperisone also acts on vascular smooth muscle, which has the function of dilating blood vessels.
2. The principle of action is different: Tizanidine reduces tonic spasm by inhibiting the synapses of motor neurons, while Eperisone reduces muscle tension and spasm by cutting off the transmission of signals from the central nervous system. Eperisone also has calcium-like antagonist and block muscle sympathetic nerve.
3. Different contraindications: Tizanidine is forbidden to be used together with Fluvoxamine and Ciprofloxacin. It is forbidden for those who are allergic to both ingredients.
In a word, both Tizanidine and eperisone need to be used under the guidance of professional doctors. At the same time, we should also pay attention to the possibility of contraindications and adverse reactions.
|
|
|
|
| 85721-33-1 Ciprofloxacin | 54739-18-3 Fluvoxamine | 51322-75-9 Tizanidine |
Disclaimer: The information published on this website comes from the internet, which does not mean that this website agrees with its views or confirms the authenticity of the content. Please pay attention to distinguish it. In addition, the products provided by our company are only used for scientific research. We are not responsible for the consequences of any improper use.
If you are interested in our products, or have critical suggestions on our articles or are not completely satisfied with the products received, Please also contact us via Email :sales6@faithfulbio.com ; Our team is committed to ensuring the complete satisfaction of customers.












